sinopsis buku ilmiah ladap


Insan positif yang dicadangkan adalah mengikut kerangka Islam iaitu cemerlang di dunia dan akhirat. Sinopsis buku splkpm 2020 2.


Sinopsis Ladap 2 Pdf

Sebagai contoh kita ambil konsep mengenai surga dan neraka.

. Sekiranya anda berminat untuk membeli buku-buku hasil karya Faizal Yusup siap dengan autografnya sekali begini caranya. Sinopsis buku 2014 penyeliaan klinikal dari perspektif pengajaran di sekolah. Bba6016 mohd aziz bin md yusof 1.

Contoh sinopsis buku bagi para guru. Oleh itu cikgu2 selamat. JANGAN TIDAK-TIDAK meneruskan pendekatan santai mesra tetapi berkuasa motivasi cara 3E ExtraMile ExtraMild dan ExtraMind.

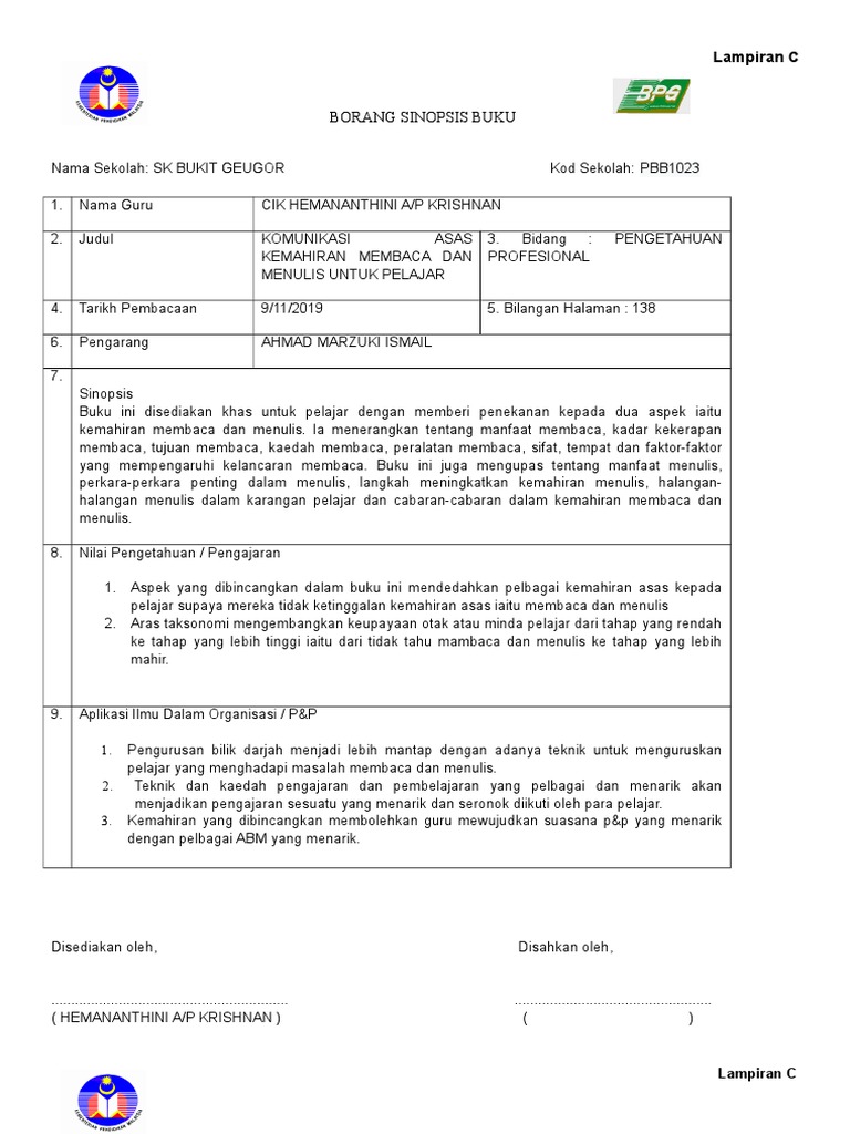
Lampiran c borang sinopsis buku nama sekolah. Ladap Pembacaan Buku 1 Doc Lampiran C Borang Sinopsis Buku Nama Sekolah Sk Setia Alam 1 Nama Guru Sivanaswari A P Karuppiah 2 Judul Mengurus Course Hero. Mar 03 2021 contoh daftar pustaka dari buku makalah jurnal internet dan wawancara deepublish.

Nama guru hamka bin ramlan 2. Sinopsis buku ilmiah agama ladap. Disamping itu buku ini juga menerangkan cara kita untuk mendapat rahmat dan kasih sayng.

Sinopsis buku ilmiah agama ladap. Ilmu Pengetahuan dan Pendidikan Mata Pelajaran. No60jalan 141 taman segar 77300 masjid tanahmelaka.

Ladap sinopsis buku 2019 doc. Tempat Pembentangan - 7. Berikut contoh sinopsis buku.

Langkah untuk merekod pembacaan buku atau book review dalam splkpm. Setiap guru mengetahui mereka perlu. Prinsip utama kurikulum pendidikan awal kanak-kanak Kuala Lumpur.

Lampiran c borang sinopsis buku nama sekolah. ISBN 978-967-61-26405-5 ULASAN Buku setebal 113 halaman ini telah dihasilkan oleh penulis yang arif dalam dunia pendidikan iaitu Dr. Sinopsis buku splkpm contoh book review e splg pdf doc ldp ulasan video.

339872720 contoh-sinopsis-buku-untuk-ladap FATIHAH IBRAHIM. Aplikasi splkpm bagi tahun 2020. Contoh resensi buku pengetahuan pelajaran ilmiah pendidikan cerpen novel fikisi dan non fiksi yang baik dan benar serta terbaru dan lengkap.

Utusan Publications Distributors 2013. Merupakan kompilasi puisi untuk tatapan dan bacaan umum. Buku ini membicarakan tentang ibu bapa yang berhasrat dan bercita-cita untuk mendidik anak-anaknya menjadi insan positif.

Namun realitinya ramai ibu bapa yang kecewa kerana anak-anak mereka tidak menjadi orang yang diharap-harapkan. Judul Pengenalan pemikiran kritis kreatif- Abd. Sinopsis buku ilmiah agama ladap.

Buku ini memberi pengenalan tentang pemikiran kritis kreatif. Borang asal yang dapat dimuat turun di splkpm. Ladap sinopsis buku 2019 doc.

Lampiran c borang sinopsis buku nama sekolah. Sekolah dijadikan contoh oleh penulis agar setiap pelajar boleh menjadikannya sebagai pedomen dan 9 contoh resensi buku fiksi non fiksi novel cerpen film ilmiah. Sinopsis buku ilmiah agama ladap.

Sinopsis buku ilmiah agama ladap. Sma daril iktisam kod sekolah. Buku setebal 113 halaman ini telah dihasilkan oleh penulis yang arif dalam.

Untuk Semua Guru SMK Tinggi Kajang ANALISIS SINOPSIS MENGIKUT BIDANG FOKUS. Contoh Sinopsis Buku Ilmiah Ladap Pembacaan Buku 1 Doc Lampiran C Borang Sinopsis Buku Nama Sekolah Sk Setia Alam 1 Nama Guru Sivanaswari A P Karuppiah 2 Judul Mengurus Course Hero. Contoh Sinopsis Buku Ilmiah Ladap - Contoh Sinopsis Buku Untuk Ladap Pdf.

Ada contoh beberapa sinopsis buku untuk guru. Ada contoh beberapa sinopsis buku untuk guru. Rekod pembacaan buku bagi aplikasi splkpm bagi tahun 2020.

Sinopsis kesihatan mental Azian Alwi. Sk tun doktor ismail kod sekolah. Contoh resensi buku ilmiah sosiologi.

Anis ilyana bt abdul aziz. Langkah untuk merekod pembacaan buku atau book review dalam splkpm. ULASAN BUKU SHARIFAH NOR PUTEH DAN ALIZA ALI Belajar melalui bermain.

Sinopsis buku ilmiah terbaru cute766. Langkah untuk merekod pembacaan buku atau book review dalam splkpm. LADAP 2010 - BOOK REVIEW.

Berteraskan teladan dan pengalaman pendekatan ini mampu mengubah minda masyarakat daripada pesimis kepada optimis. Kreativiti dan Inovasi Pedagogi. Contoh sinopsis buku untuk ladap.

Untuk menjadi seorang juara di samping turut memasukkan elemen. Dalam menyusun sinopsis baik untuk buku novel dan buku ilmiah. Lampiran c borang sinopsis buku nama sekolah.

Sharifah Nor Puteh dan. Buku buku ilmiah pendidikan sinopsis. Bagaimana untuk menjadikan proses pembelajaran untuk pelajar supaya lebih.

Anis ilyana bt abdul aziz. Nama guru judul tarikh pembentangan tempat pembentangan sinopsis kod sekolah. 339548138 sinopsis buku bacaan ilmiah education guru english.

Pengurusan bimbingan. Contoh Sinopsis Buku Ilmiah Pendidikan. Ulasan buku ladap pengetahuan profesional guru book review on fire safety.

339872720 contoh sinopsis buku untuk ladap. Splkpm Cara Login Kemaskini Modul Splkpm Moe Goy My from ecentralmy Lampiran c borang sinopsis buku nama sekolah. 11 contoh resensi buku non fiksi ilmu pengetahuan fiksi.

Nama guru mohd ihsan bin. Download view contoh sinopsis buku untuk ladap as pdf for free. Kandungan dan Kaedah Pedagogi.

Jurnal dan buku terbitan 10 tahun terakhir. Buku ini memberi pengenalan tentang pemikiran kritis kreatif. Lampiran c borang sinopsis buku nama sekolah.

339548138 sinopsis-buku-bacaan-ilmiah nurul bazilah. No60jalan 141 taman segar 77300 masjid tanahmelaka. Penyelesaian Masalah Tabiat Akal dibincang Sintesis Persepsi Jenis Persepsi Teori dan Kajian Tentang Otak.

Borang penulisan sinopsis bukuanamamohd nizamudin bin mohd. Depositkan duit ke akaun Maybank Azila binti Ismail 1141 7939 5635. Sinopsis Buku ini memberi pengenalan tentang pemikiran kritis kreatif.

Nama guru pengenalan pemikiran kritis 2 contoh sinopsis buku ilmiah. Semoga dapat membantu kamu dalam menyelesaikan penyusunan. Contoh sinopsis buku bagi para guru.

Nama guru hamka bin ramlan 2. Sinopsis sekolah 1. Contoh Ulasan Buku Ilmiah - Sinopsis Buku Motivasi Untuk Ladap.

Tarikh Pembentangan - 5. Hantarkan nama dan alamat. Borang sinopsis buku4 guru pembimbing murid Yusnita Yusof.


339548138 Sinopsis Buku Bacaan Ilmiah Education Guru Motivation


Ladap Pembacaan Buku 4 Doc Lampiran C Borang Sinopsis Buku Nama Sekolah Sk Setia Alam 1 Nama Guru Sivanaswari A P Karuppiah 2 Judul Modul Kemahiran Course Hero


Sinopsis Buku Ladap 2018 Deventxc


Sinopsis Buku Ilmiah Untuk Ladap Trentdsx


339872720 Contoh Sinopsis Buku Untuk Ladap


Sinopsis Buku Ladap 2019 Gabrieltrf


Ladap Sinopsis Buku Pdf


339548138 Sinopsis Buku Bacaan Ilmiah Guru Nilai Prose


Sinopsis Buku Ilmiah Macinjk


Ulasan Pembacaan Buku Ilmiah Pdf


Sinopsis Buku Ladap Ramiro Owebster


339548138 Sinopsis Buku Bacaan Ilmiah Education Guru Motivation


Sinopsis Buku Smktun Membalik Buku Halaman 101 150 Anyflip


Sinopsis Buku Ladap Pdf


Sinopsis Buku Ladap 3 Pdf


Sinopsis Buku Untuk Ladap Ocspaab


Sinopsis Buku Ladap Pdf


Ladap Sinopsis Buku 2020 Doc Pdfcoffee Com


Sinopsis Buku Ladap Pdf

Related : sinopsis buku ilmiah ladap.